疲劳性能是工程结构材料的重要使役性能。将金属材料晶粒细化为超细晶或者纳米晶,可提高其应力控制条件下的高周疲劳性能,但往往降低 其应变控制条件下的低周疲劳性能。这主要是当晶粒细化到亚微米或纳米级别后,一方面材料的强度将大幅度提高,进而抑制疲劳过程中裂纹的 萌生并提高其高周疲劳性能;另一方面材料的塑性降低,造成应变控制循环加载下低周疲劳寿命降低。
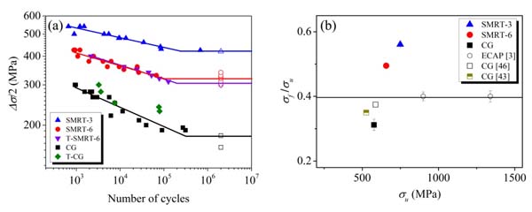
国家实验室研究人员通过表面机械滚压处理(SMRT)在316L不锈钢上形成GNS表层,并对其拉压疲劳性能进行研究,发现SMRT样品在应力控制 下的高周和低周疲劳性能均大幅度提高,直径为6 mm(SMRT-6)和3 mm(SMRT-3)样品的疲劳极限由原始粗晶(CG)样品的180 MPa分别提高到320 MPa和420 MPa,在循环周次为1000左右的疲劳强度也较CG样品分别提高~40%和~80%。此外,SMRT-6和SMRT-3样品的疲劳比也由CG样品的0.32分别提高到0.49和0.56。
分析表明,GNS层抑制了循环变形过程中的应变局域化,进而抑制疲劳裂纹的萌生并有效协调一定幅度的塑性变形,从而提高了SMRT样品的疲 劳性能;此外,奥氏体基体在疲劳过程中生成的形变诱导马氏体也在一定程度上提高了SMRT样品的疲劳强度。相较而言,大幅度改变GNS层的残余 应力状态后SMRT样品的疲劳性能基本不变,说明残余压应力对疲劳性能的提高不起主要作用。
相关研究成果发表在Acta Mater. 87 (2015) 150上。

(a) S-N curves of different 316L stainless steel samples. (b) Correlation between the fatigue ratio and tensile strength, in comparison with data of CG and ECAP 316L samples from references.