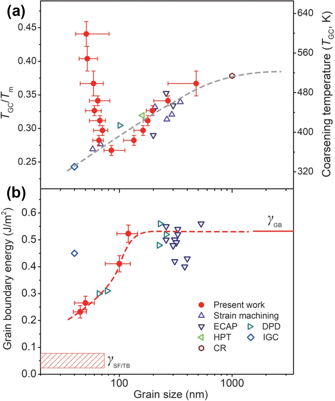
金属晶粒细化至纳米尺寸可以大幅提高其强度和硬度,但由于引入大量晶界,纳米金属材料的结构稳定性变低,晶粒长大倾向明显。本研究发现,对于塑性变形制备的纳米晶,上述典型不稳定行为只在一定晶粒尺寸范围内发生。在某特征尺寸以下,随着晶粒尺寸的降低,其稳定性不降反升。利用表面碾压技术成功制备出表面晶粒尺寸40 nm左右的梯度结构纳米晶Cu样品,研究发现尺寸为70 nm的晶粒在413 K退火30分钟即发生显著长大,远低于粗晶铜的再结晶温度。而低于70 nm,随着晶粒尺寸的进一步减小,纳米晶的稳定性反有所上升,尺寸为40 nm的晶粒,其显著长大温度甚至高达600K以上。研究表明,低于70 nm晶粒稳定性升高来自于晶界能的自发降低。塑性变形过程中,70 nm以下,晶界能自发由原来0.52 J/m2降低至0.23-0.27 J/m2,这一现象与在该尺寸下全位错不能弓出,晶界通过释放不全位错容纳变形有关。
纳米晶这一反常稳定不只在纯铜这样的中低层错能金属中发生,在高层错能纯镍中也同样存在。尺寸为30 nm左右的纯镍晶粒显著长大温度为1173K (~0.68 Tm),远高于粗晶镍的再结晶温度。 这项研究不仅有助于理解纳米晶变形机制及晶界在纳米尺度下的行为,同时也展示了发展高温使用的纳米晶的可能性。该工作发表于Science,360 (2018) 526。

Fig.1: Variations of coarsening temperature and grain boundary energy with decreasing grain size.